If $\psi_\pi= \left( \frac{-}{\pi} \right)_3$ is the cubic residue character and $\pi$ is a prime with $\pi \not \equiv0 \text{ mod }3$, then is it true that $$J(\psi_\pi, \psi_\pi)=-\sum_{i=1}^{p-1}\psi_\pi(i)\psi_\pi(1-i)=\pi?$$
In Lemmermayer's book on reciprocity laws it's proven to be true if $\pi \equiv 1 \text{ mod }3$, but what about for other values of $\pi$ with $\pi \overline{\pi} \equiv 1 \text{ mod }3$?
Background: in Lemmermayer's book, the proof for $\pi \equiv 1 \text{ mod }3$ proceeds thusly: 
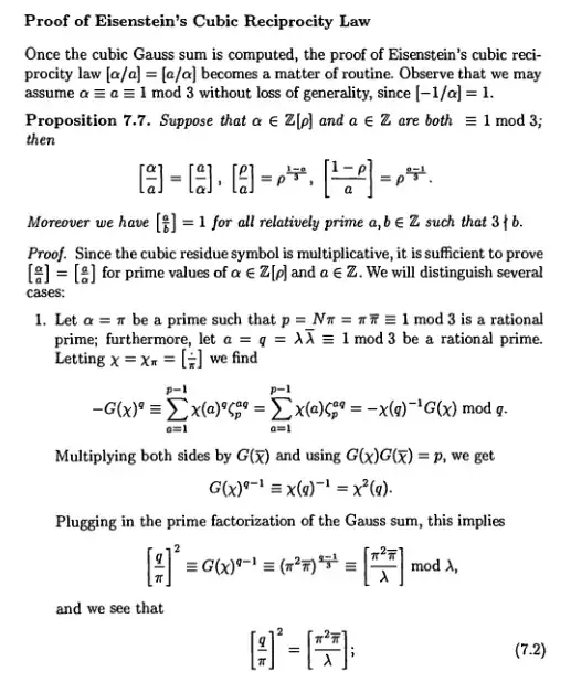
But then later in the proof of the cubic reciprocity law, of which the first page is as follows: 
Lemmermayer suddenly seems to use the Gauss sum factorisation as $G(\psi)=\pi^2 \overline{\pi}$, which is equivalent to $J(\psi, \psi)=\pi $, for values of $\pi$ with $\pi \not \equiv 1 \text{ mod }3$. At this point I became confused and asked this question.