The Lie group and representation theory approach to special functions, and how they solve the ODEs arising in physics is absolutely amazing. I've given an example of its power below on Bessel's equation.
Kaufman's article describes algebraic methods for dealing with Hermite, Legendre & associated Legendre functions. Can we take the other special functions mentioned in this paper, obtainable as linear combinations of the conformal symmetries of the Laplacian (expressed as Lie algebra elements), and obtain their solution analogously to how Bessel is solved below? I believe it's something like a geometric interpretation of Weisner's method.
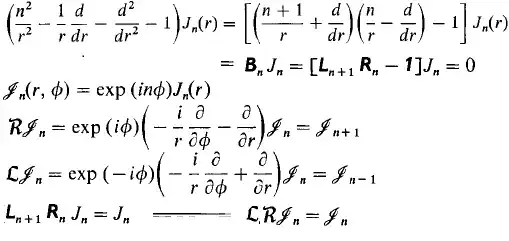
Bessel's equation seems to be saying: find a function in the plane such that when we shift it right, then shift it back left again, all locally (i.e. differentially) in polar coordinates, we get the same function:

(c.f. Killingbeck, Mathematical Technique's and Applications, sec. 8.21).
The idea is to take Bessel's equation, factor it, add an extra variable to make the factors parameter independent so that they become elements of a Lie algebra, identify the meaning of those factors, in this case notice the Lie algebra factors are translations in polar coordinates, and realize it's just a differential expression of a symmetry.
Bessel's equation arises from $L R v = v$ when you express $L$ & $R$ in polar coordinates. It makes sense to express them in polar coordinates since Bessel arises from separating the Laplacian assuming cylindrical symmetry, and the $LRv = v$ assumption (not $LRv = w$) is motivated by the symmetry of the Laplacian.
Using this idea we can, for some reason, actually solve Bessel's equation with a picture!:

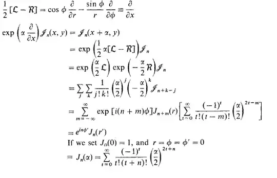
We just want to shift $\mathcal{J}_n(r,\phi)$ in the x-direction using the operator $e^{a\tfrac{\partial}{\partial x}}$ expressed in polar coordinates: $e^{\tfrac{a}{2}(\mathcal{L}-\mathcal{R})}$ and realize it will be equal to $\mathcal{J}_n(r',\phi')$:

So the last line comes from dragging all this to the origin and putting it along the x-axis, here we see the geometric meaning of Bessel functions!
(I am not yet completely sure how we link this calculation to the matrix representation of the Euclidean Group $E_2$
$$ g(x,y,\theta) = \left( \begin{array}{ccc} \cos(\theta) & - \sin(\theta) & x \\ \sin(\theta) & \cos(\theta) & y \\ 0 & 0 & 1 \end{array} \right)$$
Sadly, vaguely we can see it represents planar motions, and this is all linked to representation theory, but it's not fully clear to me how exactly).
The question is: Is there a similar, easy, unified, geometric exposition for the rest of these types of equations, analogous to [or a better version of] this one, such as those in the following list:

It'd be great to understand these other equations, their formulation and solution, with a geometric interpretation like this one. Understanding the intuition behind those groups seems to be the key. If you you feel so inspired, please post your versions of these problems here.
References:
- Killingbeck, Mathematical Techniques and Applications, sec. 8.21
- Vilenkin, Representation of Lie Groups and Special Functions Vol. 1
- Vilenkin, Special Functions and Theory of Group Representations
- Miller, Lie Theory and Special Functions
- Kaufman, Special Functions of Mathematical Physics from the Viewpoint of Lie Algebra