I have a data set which has continuous independent variables and a continuous dependent variable. To predict the dependent variable using the independent variables, I've run an ensemble of regression models and tried to compare them against each other. Here are the results for reference:
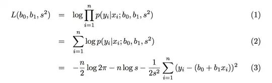
I can interpret what the R-squared value / Coefficient of determination for each of those models means. However, I can't understand what the Negative Log Likelihood means. Especially, why is it Infinity for Linear Regression and Boosted Decision Tree, and a finite value for a Decision Forest Regression?
Edit:
Data Description: The data that went into these three models is all continuous independent variables and a continuous dependent variable. There are a total of 542 observations and 26 variables.
These 542 variables are split 70 - 30 to get training and testing datasets. Therefore, the training dataset has 379 observations and 26 variables; the testing dataset has 163 observations and 26 variables.
No missing data.
Edit 2 Possible Explanation - (click here): Apparently, Linear Regression and Boosted Trees in Azure ML don't calculate the Negative Log-Likelihood metric - and that could be the reason that NLL is infinity or undefined in both cases.

