0

enter image description here

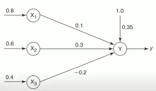
While applying sigmoid activation function (in finding y label), I have calculated it as below:

y = 0.35 + (0.8 * 0.1) + (0.3 * 0.6) + (-0.2 * 0.4) = 0.53

sigmoid_y = 0.625

how do we take threshold value here?

now, how can we say that the given label (y) belongs to 0 or 1?

tovijayak
  • 67
  • 1
  • 8

1 Answers1

1

This is a design decision.

You can take the naive approach of using 0.5 as the threshold value, and assign 1 to every value greater than or equal to 0.5, and 0 to the rest.

But you can also, choose your threshold to obtain a classifier that meets certain properties, like achieving a certain false positive rate, o a certain false positive rate. You can see these answers for different objectives when choosing the threshold value: this, this, this.

Note that your question is not specific to the sigmoid activation or to neural networks, but applied also to any probabilistic classifier.

noe
  • 28,203
  • 1
  • 49
  • 83