I am having troubles understanding the plate notation being used in LDA and GMM. In specific the class-variable deciding which parameters that generates the observation in GMM's and the topic-assignment in LDA's. Why does it not have a an edge directed to the actual parameters? Lets have a look att GMM's:
Notice that Z_n governs which mu and sigma should be used for that specific observation. In my mind Z_n should have two outgoing edges pointing to the parameters which in turn have directed edged pointing to our observations. Why is this not the case?
Notice that the structure that i proposed generates a different independence structure, there must be some vital intuition in d-separation that i missed when modelling DGM's.
Notice that in the plate notation for GMM's the class variable Z_n and the corresponding parameters gets conditionally dependent given the observations X_n. In my proposed solution they are not.
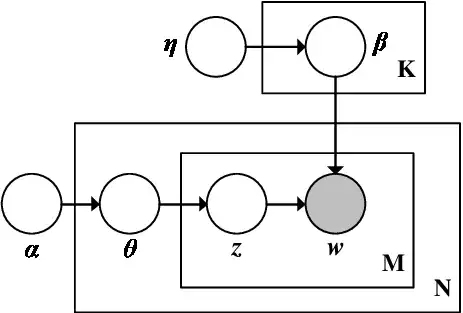
This same mindfuck occurs in me when i watch the plate notation for LDA's:

In my mind, z should point to b..
can someone shine some light on my confusion?
