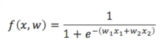
You are training the following perceptron. The neuron in this perceptron has a sigmoid activation function. The sigmoid function is represented by the following equation:
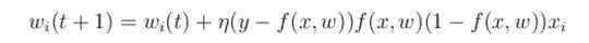
Using the update function for the weights:
with a learning rate of η=1, and assuming that the current weights are w1 = 0.2 and w2 = 0.3, compute an iteration of the new weights by computing error and applying back to the inputs.


