The book that I'm reading says it is equivalent
But what about the aa string ? i produce it this way :
$$ S\Rightarrow S_1B\Rightarrow aS_1bB\Rightarrow aaB\Rightarrow aa $$ But that language doesn't have aa in it, what am i doing wrong here?
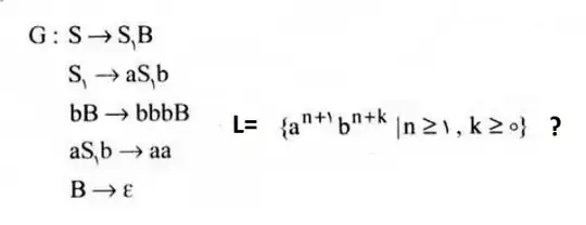
The book that I'm reading says it is equivalent
But what about the aa string ? i produce it this way :
$$ S\Rightarrow S_1B\Rightarrow aS_1bB\Rightarrow aaB\Rightarrow aa $$ But that language doesn't have aa in it, what am i doing wrong here?