CLRS Problem : 7.4
How does Tail-Recursive-QuickSort improve the efficiency of quick sort any better ?
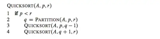
Original quicksort
Tail recursive quicksort
Question
Modify the code for TAIL-RECURSIVE-QUICKSORT so that the worst-case stack depth is O(n log n). Maintain the O(n log n) expected running time of the algorithm.
Answer
We are always doing a tail-recursive call on the second partition. We can modify the algorithm to do the tail recursion on the larger partition. That way, we'll consume less stack.
Both algorithms sort the both partitions. But how does the stack consume less space by operating Tail-Recursive-QuickSort on larger partition?

