-3

I am learning about finite automata and trying to create a machine that matches

{w ∈ Σ∗| w does not contain the substring 10}

I created a DFA where it either starts with 1 or 0. I know it's not the most concise FA, but is it accurate?

2 Answers2

4

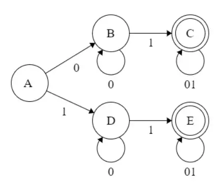
Your automaton (automata is the plural word) is wrong:

  • as @Knogger stated, there is no initial state
  • finite automata (unless generalized) can only have one-letter transitions, so transitions $01$ are not allowed
  • even if $01$ transitions are allowed, this would create $10$ as substring, since $0101$ contains $10$.

You should try again, noting the fact that a word $w\in \{0,1\}^*$ does not contain $10$ as a substring if and only if $w = 0^p1^q$, for some $p, q\geqslant 0$.

Nathaniel
  • 18,309
  • 2
  • 30
  • 58
0

This one is a classic textbook problem. You can build your required DFA as follows:

step 1: build a complete DFA $M$ that accepts all strings containing 10 as a substring

step 2: just swap the status of final/non-final states in this DFA to get another DFA $M'$

step 3: argue that $M'$ has to be your required one

Read more about DFA complementation here.

codeR
  • 1,983
  • 7
  • 17