I've got homework to design NFA to accept a set of strings over {a,b,c} in which each string of the language satisfies: "cac" is a substring and "cc" is not a substring and the length of the string is even.
I tried to approach the problem by looking at the shortest strings of the language and building a template for the automata, so I took for example the strings : "acac" and "cacb" which both of them belong to the language and started drawing:

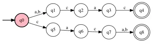
Then I continued to develop it and finally got to:

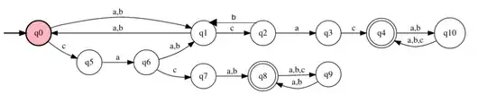
But I am not sure how to test the correctness other than trying a lot of different strings, I have to mention that on my course I don't have to prove the correctness of the automata most of the time, and in this case, I don't need also but I'll be happy to learn about some ways that will increase my confidence when designing automata's. Thanks.
Source: https://mega.nz/folder/0Sg0iD4B#0OPF1JJgFjtYoJuStlsCtA/folder/JPBX0K6J