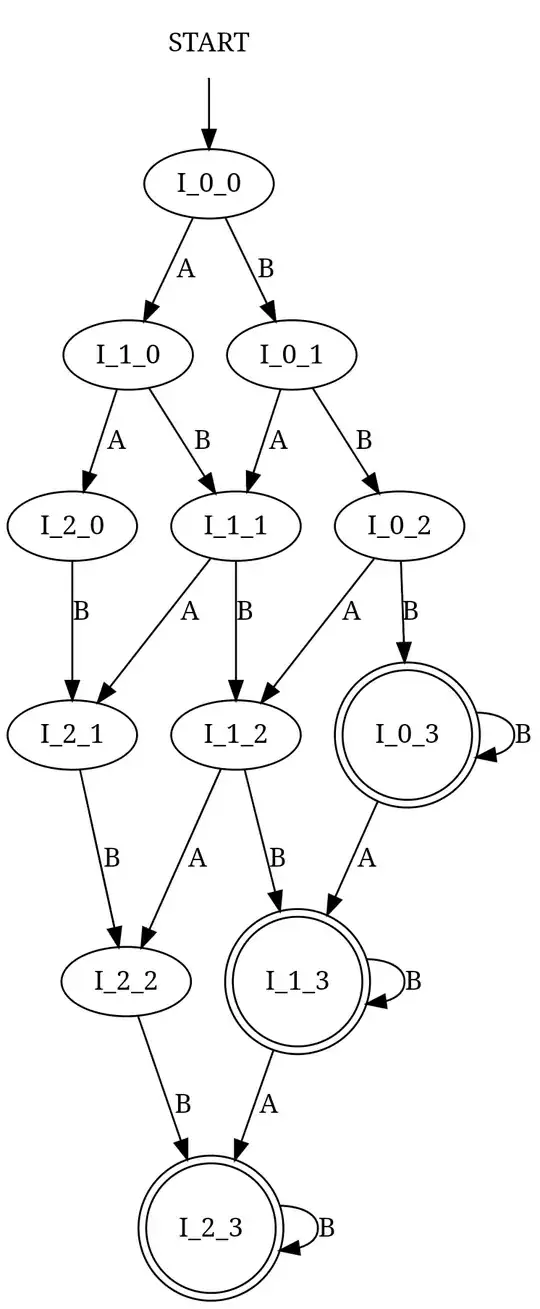
I am not a Regular Experssion expert, but my request is simple: I need to match any string that has at least 3 characters of B and at most 2 characters of A
so for example:
"ABABBB" => Accepted
"ABBBBBB" => Accepted
"BBB" => Accepted
"ABB" => Rejected
"AABB" => Rejected
"AA" => Rejected
