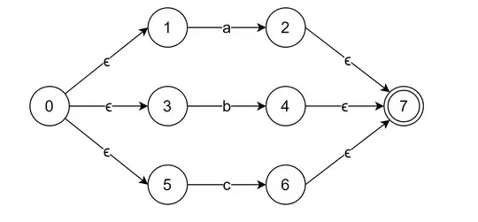
We were assigned to draw NFA for regular expression a|b|c, so like any one I draw this
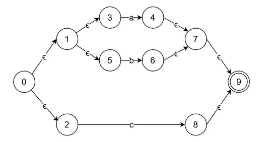
But my professor told me it is wrong, the correct way is
So, I checked it on online tools toolbox by cyberzhg, and regexper and according to both of them I am also correct.
Professor's argument was in maths for 4+5+1, we first add either 4+5 or 5+1 together then we add result of it with the remaining number. That is why for a|b|c, the correct solution is either (a|b)|c or a|(b|c).
Can you please tell are we both correct?

