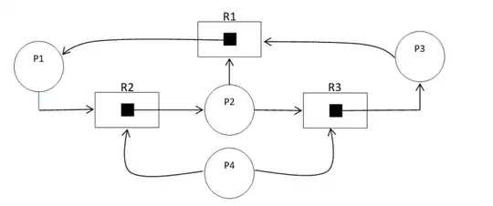
Is it in in a deadlocked state?
In this graph, there is a deadlock initially I think. Since P1 is holding R1 and waiting for R2; P2 is holding R2 and waiting for R1 and R3; P3 is holding R3 and waiting for R1.
Or P1 and P2 are also in a cycle. So it is in a deadlocked state. Am I correct to claim that?
If one more instance of resource R1 is added, will it be in a deadlocked state? Explain why? Need to show the graph reduction steps to justify your answer
I think it can if P3 takes R1 so that it releases R1 and R3. But if P2 takes the newly added R1, it is still waiting for an R3.
In this case, should I say it is still in a deadlocked state? Also, how to do graph reduction? Any help is appreciated.
