I am having some trouble really getting to a precise understanding of some of Self-Testing/Correcting for Polynomials and for Approximate Functions and would greatly appreciate help. Here is my understanding of section 3, Self-Testing Polynomials.
My main problem is that the definition of the function $g$ seems to require a theorem that isn't cited. Details below.
One is given a program $P$. This program (supposedly) computes a polynomial function $f$. This polynomial $f$ is defined implicitly by saying that $f$ is the interpolating polynomial, over some finite field $F$, of data points $(x_0,y_0)$, $(x_1,y_1)$, $\dots$, $(x_n,y_d)$. In other words, $f$ is the lowest degree polynomial satisfying for all $i=0,1,\dots,d$, $f(x_i)=y_i$. In any case, $P$ ought to be very quick to compute, the best case scenario certainly being where $P$ is a list of (supposedly) all values of $f$ pre-computed.
One wants a quick way to verify that $P$ does its job as advertized, at least mostly.
During the proof that the program Polynomial Self-Test has the desired properties, one introduces the function $g$ defined as $$\forall x\in F,\quad g(x)=\mathrm{maj}_{t\in F} \left\{\sum_{i=1}^{d+1}\alpha_i P(x+i\cdot t)\right\}$$ where the $\alpha_i$ are the field elements that satisfy, for any polynomial $Q$ of degree $\leq d$, $$Q(X)=\sum_{i=1}^{d+1}\alpha_i Q(X+i\cdot T)$$ These exist and can be defined in terms of the inverse of a Vandermonde matrix, and the paper even tells us they are binomial coefficients up to a sign.
The goal is nicely summed up by the authors: prove that under certain circumstances, the function $g$ thus ``defined'' is indeed the interpolating polynomial of the data, and mostly agrees with $P$:

It is not clear to me how to interpret the definition of $g$. There are two definitions one could come up with:
1) $g(x)$ is the value that comes up most often from all the $\sum_{i=1}^{d+1}\alpha_i P(x+i\cdot t)$, but this would require us to break ties (probably arbitrarily). This is unacceptable considering a lemma further down that tells us that under certain conditions $g$ is precisely the function $f$ sought after
<p>2) If we consider the totality of values <span class="math-container">$\sum_{i=1}^{d+1}\alpha_i P(x+i\cdot t)$</span>, for all <span class="math-container">$t\in F$</span>, there <em>always</em> is a <span class="math-container">$50\%+\epsilon$</span> majority of one value. In which case the definition is unambiguous, but which <strong>would require a proof</strong>, likely saying that if <span class="math-container">$\delta$</span> is small enough (and hopefully ``small enough'' can entirely de defined in terms of <span class="math-container">$d$</span> and <span class="math-container">$\delta$</span>, i.e. not using the cardinality <span class="math-container">$|F|$</span> of the finite field <span class="math-container">$F$</span>)</p> <p>2') Or we could leave <span class="math-container">$g$</span> undefined in those cases where no <span class="math-container">$50\%+\epsilon$</span> majority arises, but that would surely make the analysis more complicated. </p>It seems only the second one makes sense, and when considering a proof that comes afterwards, it seems this is indeed the definition they are using. However, it would require proof that with $\delta$ small enough, a $50\%+\epsilon$ always happens.
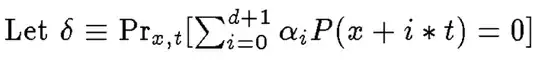
Here $1-\delta$ is defined as (I believe there is a typo in the paper here):
When doing a similar analysis with $F_2$-linear maps $F\to F_2$ for a field of characteristic $2$, there is a very cute result from representation theory that tells us that if $f$ satisfies the defining equation of a linear map ``$f(x+y)=f(x)+f(y)$'' often enough, then it agrees with an actual linear map at least as often (in terms of Hamming distance). It seems the authors are aiming for a similar result here, but there is a piece missing as far as I can tell.
