8

I have a number that consists of 102 digits and I need to factor it. I ran it in alpertrom.com.ar, but it'll take up to 40 hours if I counted all right. Is there any way to make it by hand (stupid question), I mean to simplify computation for the program? Or maybe anyone can factor it out. The professor is probably just testing our processor's computability.

Here's the number: 166045890368446099470756111654736772731460671003059151938763854196360081247044441029824134260263654537

Glorfindel
  • 506
  • 1
  • 11
  • 22

2 Answers2

16

Your 102-digit nuber is two digits more than the first RSA challenge RSA-100 that has 330-bit.

This can be easily achieved with existing libraries like;


The experiment

Factor of a 99 digit number $n =$ 112887987371630998240814603336195913423482111436696007401429072377238341647882152698281999652360869.

  1. I have tried with Pollard's $p$ -1 algorithm, still running for one and a half-day and did not produce a result, yet. This is what expected due to the B bound must be around $2^{55}$ with success probability $\dfrac{1}{27}$. I've stopped the experiment after the CADO-NFS succeeds. This is self-implemented Pollard's $p$ -1, one can find an optimized in GMP-ECM

  2. Tried the CADO-NFS. The stable version may not be easily compiled for new machines, so prefer the active one from the GitLab.

    After ~6 hours with 4 cores, CADO-NFS produced the result. This was an RSA CTF/Challange and I don't want to spoil the fun; here the hash commitments with SHA-512, it is executed with OpenSSL;

    echo -n "prime x" | openssl sha512

27c64b5b944146aa1e40b35bd09307d04afa8d5fa2a93df9c5e13dc19ab032980ad6d564ab23bfe9484f64c4c43a993c09360f62f6d70a5759dfeabf59f18386

faebc6b3645d45f76c1944c6bd0c51f4e0d276ca750b6b5bc82c162e1e9364e01aab42a85245658d0053af526ba718ec006774b7084235d166e93015fac7733d


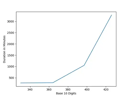
Experiments on RSA challenges with 6 cores using CADO-NFS

RSA Challange Bit size Time in minutes
RSA-100 330 270
RSA-110 364 280
RSA-120 397 1049
RSA-129 426 3279
RSA-140 430 Not tested

enter image description here The core count is very important to reduce the time as 512-bit can be broken as 4 hours in the EC2 platform.


Details of the experiment

  • CPU : Intel(R) Core(TM) i7-7700HQ CPU @ 2.80GHz

  • RAM : 32GB - doesn't require much ram, at least during polynomial selection and Sieveing.

  • Dedicated cores : 4

  • Test machine Ubuntu 20.04.1 LTS

  • CUDA - NO

  • gcc version 9.3.0 (Ubuntu 9.3.0-17ubuntu1~20.04)

  • cmake version 3.16.3

  • external libraries: Nothing out of Ubuntu's canonicals

  • CODA-NFS version : GitLab develepment version cloned at 23-01-2021

  • The bit sizes;

    • $n$ has 326 bits
    • $p$ has 165 bits
    • $q$ has 162 bits

The cado-nfs-2.3.0 did not compile and giving errors about HWLOC- HWLOC_TOPOLOGY_FLAG_IO_DEVICES. Asked a friend to test the compile and it worked for them. It was an older Linux version. So I decided to use the GitLab version.


  • Note: this question did not factor the OPs original number.

  • Historical note: RSA-100 challenge has 330 bits and broken by Lenstra in 1991.

kelalaka
  • 49,797
  • 12
  • 123
  • 211
3

Using for example cado-nfs, you can find the factorization (~5min using 32 cores) as 51700365364366863879483895851106199085813538441759 * 3211696652397139991266469757475273013994441374637143